您好!欢迎访问宁夏中广泰电力工程有限公司网站! 返回首页 | 设为首页 | 加入收藏 | 联系我们
宁夏中广泰电力工程有限公司logo
新闻中心
 
 
公司动态 您的位置:首页 >> 新闻中心  >> 公司动态  

输电线路工程施工必须掌握的20个术语

  发表时间:2019年07月19日  点击数:4857 次

   


  1、中心桩:

  表示杆塔中心的位置,由设计在线路中心线上测定的木桩。有时也就叫杆位。根据线路不同可用P1、A2、B3等表示,P、A、B表示本线路杆号,同一条线路一般都用一个符号表示(也有不同情况),后面数字表示杆位号,由1、2、3依次排序,表示**号杆位。

 

  2、测桩:

  在档距内线路中心线上,为方便测量(通视、交叉跨越、风偏点等)而加设木桩,简称测桩,方便于线路测量,一般用“Z1、Z2”表示。

 

   

▲图 档距示意图

 

 

  3、档距:

  两相邻杆塔导线悬挂点间的水平距离。实际工作中一般以相邻两基杆塔之间的水平直线距离 。

 

  4、水平档距:

  相邻两档距之和的一半,又为风载档距。

 

  5、垂直档距:

  杆塔两侧电线最低点的水平距离,又称重力档距。

 

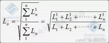
  6、代表档距:

  我们把大小不等的一个多档距的耐张段,用一个等效的假想档距来代替它,这个能够表达整个耐张力学规律的假想档距,称之为代表档距或称为规律档距。

  代表档距的计算公式:

  Ⅰ)导线悬挂点等高情况:

   



  Ⅱ)导线悬挂点不等高情况:

 

  



  式中:

        Lo—规律档距(米)

        Ln—各档档距(米)

        Qn—悬挂点高差角(度)

 

  7、高差:

  两点间的垂直距离,线路中分为悬挂点高差、杆塔中心高差,用“h”表示。

 

  8、弧垂:

  一档架空线内,导线与导线悬挂点所连直线间的最大垂直距离,称为弧垂或弛度。一般用 “f ” 表示。

 

  9、基础根开:

  指相邻两基础中心间的距离;如果是地脚螺栓式,则表示相邻两基础地脚螺栓几何中心之间的水平距离。电杆根开是指双杆(三联杆)在平面上的杆与杆中心间距。

   


 



▲图 根开布置示意图

 

 

  10、基础半根开:

  基础主柱地脚螺栓中心(斜插式以主角钢操作印记为基准)与线路中心线或中心线垂直线的水平距离。

 

  11、基础扭转:

  基础地脚螺栓中心与线路基准线的实际夹角与设计夹角的差值,分顺线路扭转和横线路扭转。

 

  12、杆塔埋深:

  电杆(塔基)埋入土壤中的深度称为杆塔埋深。

  


  铁塔组成示意图

 

 

  13、 塔头

  从塔腿往上塔架截面急剧变化(出现折线)出以上部分为塔头,如果没有截面急剧变化,那么下横担的下弦以上部分为塔头。

 

  14、 塔腿

  基础上面的第一段塔架称为塔腿。

 

  15、 塔身

  塔腿和塔头之间的部分称为塔身。

 

  16、呼称高:

  杆塔基准接腿底面至横担下平面的距离。

 

  17、施工基面:

  施工基面是计算基础埋深和定位杆塔高的起始基准面。设计单位在杆塔定位测量时,根据基础受力情况,以及不同的土壤形态、杆塔所需高度,测定了施工基准面,从这个基准面起始计算坑深H 和定位杆塔高,杆塔桩地面至施工基准面间有高差 K 叫做基础施工基面值,一般习惯上常把这段高差 K 叫做降基。不同单位施工基面有差异,一般在全方位高低腿基础配置中,是以最短接腿为基准面,设计确定的降基值为杆塔中心桩至最短接腿基础顶面基准面的高差。

  


  ▲图 施工基面示意图

 

 

  18、基础顶面高差

   


▲ 基础顶面高差示意图

 

  如上图所示,基础顶面高差一般指基础顶面至塔位中心桩地面的垂直距离。

  该腿基础顶面在塔位中心桩的上方,一般用正值表示;该腿基础顶面在塔位中心桩的下方,一般用负值表示。

 

  19、水平角:

  相交于一点的两方向线在水平面上的垂直投影所形成的夹角,称为水平角。水平角一般用表示,角值范围为0°~360°,见下页图。

   


▲图 水平角测量原理图

 

  20、竖直角:

  在同一铅垂面内,观测视线与水平线之间的夹角,称为垂直角,又称倾角,用α表示。a=0°~±90°,仰角为正,俯角为负。如下图所示,视线在水平线的上方,垂直角为仰角,符号为正(+α);视线在水平线的下方,垂直角为俯角,符号为负(-α)。

  


▲图 垂直角测量原理图

 

 

 

 

 

 

 

上一条: 输电线路架空地线详解
下一条: 成功了!196320块光伏板组成的骏马图申请吉尼斯世界纪录成...
Copyright © 宁夏中广泰电力工程有限公司版权所有 宁ICP备17002326号 网站设计制作:银川天脉网络有限公司

宁公网安备 64010402000844号